MOS管偏置電路-MOS管直流、恒流等偏置電路圖文及方程詳解-KIA MOS管
信息來源:本站 日期:2018-08-24
MOS管的單電源直流偏置電路有兩種:
1、只能用于結型和耗盡型MOS管的自給偏置電路。
2、可用于各種MOS管的分壓式偏置電路
(1)圖解法

根據圖中電路的輸出回路列出直流負載線方程

再根據輸入回路列出直流負載線方程


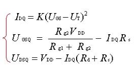
(2)計算法(列方程組求解)

式中的IDSS和UP可以從特性曲線上求出,或者從產品手冊上查到。
自給MOS管偏置電路的缺點是:
當偉提高穩定工作點的能力而增大RS時,IDQ減小,(Q下移),使gm和AU隨之減少。

將轉移性的近似函數式與根據電路列出的直流電壓方程聯立,就可求解靜態工作點。


分壓式自偏壓電路可通過調整電阻分壓比來改善靜態工作點。
下圖所示為MOS場效應管高祖偏置的電路圖。場效應管在工作中讓其輸入回路的PN結工作于反向偏置,以減小輸入電流,提高輸入電阻。MOS場效應管是通過改變UGS來改變柵極下方半導體中的電場強度,控制感應電荷的多少,進而控制導電溝道的導電能力。
通常,當RL?R時,流過光敏電阻的電流基本不變,此時的偏置電路稱為恒流電路。然而,光敏電阻自身的阻值已經很高,再滿足恒流偏置的條件就難以滿足電路輸出阻抗的要求,為此,可引入如下圖所示的晶體管恒流偏置電路。
穩壓管DW將晶體三極管的基極電壓穩定,即UB=UW,流過晶體三極管發射極的電流Ie為
聯系方式:鄒先生
聯系電話:0755-83888366-8022
手機:18123972950
QQ:2880195519
聯系地址:深圳市福田區車公廟天安數碼城天吉大廈CD座5C1
請搜微信公眾號:“KIA半導體”或掃一掃下圖“關注”官方微信公眾號
請“關注”官方微信公眾號:提供 MOS管 技術幫助

